1Department of Dermatology, University Hospital Zurich, 2Faculty of Medicine, University of Zurich, Zurich, Switzerland, 3Department of Dermatology, German Center for Health Services Research in Dermatology (CVderm), University Clinics of Hamburg, 4Institute for Health Services Research in Dermatology and Nursing, University Medical Center of Hamburg-Eppendorf, Hamburg, 5Comprehensive Center for Inflammation Medicine, University Hospital Schleswig-Holstein, Lübeck, Germany, 6Department of Dermatology, Inselspital, Bern University Hospital, University of Bern, Bern, 7Department of Dermatology, Kantonsspital Aarau, Aarau, Switzerland, 8Dermatologikum Hamburg, Hamburg, 9Psoriasis Center, Department of Dermatology, University Medical Center Schleswig-Holstein, Campus Kiel, Kiel, Germany, and 10Department of Dermatology, University Hospital Basel, Basel, Switzerland
Psoriasis can involve the skin, joints, nails and cardiovascular system and result in a significant impairment in quality of life. Studies have shown a lower response rate to systemic anti-sporiatic therapies in smokers, and smoking is a trigger factor for psoriasis. The aim of this study was therefore to analyse the response to systemic therapies for psoriasis, with a focus on smoking. Prospectively collected data from patients with moderate to severe psoriasis included in the national psoriasis registries for Germany and Switzerland (PsoBest and SDNTT) were analysed. Therapy response was defined as reaching a Psoriasis Area and Severity Index (PASI) reduction of 75%, PASI ≤ 3 or Dermatology Life Quality Index (DLQI) ≤ 1. Out of 5,346 patients included in these registries, 1,264 met the inclusion criteria for this study. In the smoking group, 715 (60.6%) reached therapy response at month 3, compared with 358 (63.7%) in the non-smoking group (p ≤ 0.269), 659 (74.1%) vs. 330 (77%) reached therapy response at month 6 (p ≤ 0.097), and 504 (76.6%) vs. 272 (79.0%) at month 12 (p ≤ 0.611). Therefore, these data do not show that smoking affects the response rate of anti-psoriatic therapy after 3, 6 and 12 months.
Key words: tobacco; nicotine; psoriasis; fumaric acid esters; methotrexate; acitretin; ciclosporin; apremilast; adalimumab; etanercept; infliximab; ustekinumab; secukinumab; treatment response.
Accepted May 16, 2019; E-published May 17, 2019
Acta Derm Venereol 2019; 99: XX–XX.
Corr: Alexander Navarini, Department of Dermatology, University Hospital Zurich, Gloriastrasse 31, CH-8091 Zurich, Switzerland. E-mail: alexander.navarini@usz.ch
The German (PsoBest) and Swiss (SDNTT) Psoriasis Registries collect data on the efficacy of anti-psoriatic treatments among smokers and non-smokers. Out of 5,346 patients included in these registries, 1,264 met the inclusion criteria for this study. In the smoking group, 715 (60.6%) reached therapy response at month 3, compared with 358 (63.7%) in the non-smoking group. At month 6, 659 (74.1%) vs. 330 (77%), and at month 12, 504 (76.6%) vs. 272 (79.0%) reached therapy response. Therefore, these data do not show that smoking affects the response rate of anti-psoriatic therapy after 3, 6 and 12 months.
Smoking has been reported as a trigger factor for psoriasis (1) and smokers are at higher risk than non-smokers of developing psoriasis (2). Among patients with psoriasis, the prevalence of cigarette smoking exceeds that of the general public (odds ratio (OR) 1.78) (2–5). Besides genetic factors, cigarette smoking and exposure to tobacco smoke in early childhood are associated with psoriasis, as shown in a retrospective study (6).
Triggering the onset of psoriasis can be mediated by genetic, inflammatory, or oxidative mechanisms (7). Smoking induces an elevated level of free radicals and thus causes oxidative damage (8). Several signalling pathways can be stimulated by tobacco use. Released cytokines activate T lymphocytes, which cause chronic inflammation (7). In addition, other triggering factors, such as obesity, oxidative stress and even insulin-resistance, are aggravated by tobacco consumption (9). Both smoking and increased fat mass are associated with increased serum tumour necrosis factor (TNF)-α levels (10, 11). Furthermore, due to the persistent inflammation, the risk of cardiovascular events is increased (12). Psoriasis can involve the skin, joints, nails and cardiovascular system, and causes a significant impairment in quality of life amongst patients and cohabitants (13).
Several studies have investigated the overall effects of psoriasis on patient’s health, as well as the overall efficacy of treatment. The causality of smoking and negative influence on health is better established in diseases other than psoriasis. In rheumatoid arthritis, negative associations have been shown between smoking and treatment response (14) and continuation of TNF blockers (15, 16). Worse responses have been shown for methotrexate (MTX) treatment (17). It could therefore be assumed that increased TNF-α due to smoking aggravates psoriasis and impairs treatment response. This has been investigated in spondylarthritis (18), coronary heart disease (19), hepatocellular carcinoma (HCC) (20), non-alcoholic fatty liver disease (NAFLD) (21) and asthma (22).
We questioned whether smoking plays not only a causative role in the triggering of psoriasis, but also in impaired treatment success. The best evidence available is for TNF-α. Cigarette smoking appears to have a synergistic effect on the secretion of inflammatory cytokines, such as interleukin (IL)-1 beta and TNF-α by macrophages (23). T-lymphocyte-released TNF-α has been shown to be higher in smokers and to be correlated with the number of pack years. Even in semen TNF-α levels are higher in smokers (24). In addition, C-reactive protein, a major inflammatory marker, is increased at a higher age, and among smokers (25). One study found higher soluble TNF receptors (sTNFR) in the serum of smokers, although increased serum TNF-α levels were not found (26). Nonetheless, other studies have clearly shown a correlation between increased serum levels of TNF-α and tobacco consumption (27, 28). Interestingly, not only the current smoking status, but also the duration of smoking (pack years), correlates with the level of serum TNF-α (27). Increased levels of serum TNF-α due to tobacco smoking have also been reported to cause an imbalance of pro- and anti-inflammatory cytokines in favour of pro-inflammatory cytokines (28).
For patients with psoriasis, decreased therapy response to ustekinumab has been shown among smokers (29).
There is no clinical data on the influence of smoking on IL-17 antagonists. However, IL-17 was found to be increased in smokers in lung tissue (30). No studies were found investigating the effect of smoking on the response of psoriasis to therapy with ciclosporin, fumaric acid esters, acitretin, or apremilast.
The aim of this study was to evaluate whether there is clinical evidence, as assessed from psoriasis registry data, that smoking alters the response of psoriasis to systemic therapies.
After signing an informed consent, patients with moderate to severe psoriasis who initiated a new systemic treatment (non-biologic as well as biologic) were included in the national non-interventional psoriasis registries PsoBest (German Psoriasis Register) and SDNTT (Swiss Dermatology Network for Targeted Therapies), which started in December 2007 and October 2011, respectively. Baseline data for both registries has been published previously (31, 32). Both registries following the European consensus in the PsoNet network (33–34), are harmonized with other registries on psoriasis and are registered with ClinicalTrials.gov (PsoBest: NCT01848028, SDNTT: NCT01706692).
PsoBest collects data from approximately 800 dermatological offices and outpatient clinics. Eight clinics are participating in SDNTT. Patients were followed-up every 3–6 months for a period of up to 10 years using a standardized case report form (CRF) completed by the physician and the patient (Fig. 1).
Fig. 1. Timeline of studies (German Psorisis Register (PsoBest) and Swiss Dermatology Network for Targeted Therapies (SDNTT)). Study visits were performed at the start of study and at month 3. From 6 months onwards, study visits were performed every 6 months. Regardless of study participation, the patients were seen by a dermatologist every 3 months (either study visit or specialist visit). During the visits Psoriasis Area and Severity Index (PASI), Dermatology Life Quality Index (DLQI) and Nail Psoriasis Severity Index (NAPSI) were performed. The period of analysis encompassed the first 12 months.
Patients were asked whether they smoked. If they did, they were asked to specify the amount of cigarettes, cigars, cigarillos, and pipes they smoked. Participants also stated whether they smoked previously for at least one year. Smoking status was re-assessed after one year. Patients stated whether they had a family medical history of psoriasis (first degree). Physicians obtained data regarding patient characteristics, e.g. age, sex, height, weight, waist-hip ratio, as well as disease severity (e.g. Psoriasis Area and Severity Index (PASI), body surface area (BSA)), which was also evaluated by patients (Dermatology Life Quality Index (DLQI)). Activity of psoriatic arthritis (PsA), and pain due to PsA was obtained through the physician’s CRF, using a visual analogue scale (VAS 0–10 = no to maximum severity). In the same way, patients rated the pain of the PsA, as well as their psoriasis activity, using a VAS. Therapy response was defined as reaching a PASI reduction of 75% (PASI 75) or PASI ≤ 3 or DLQI ≤1, taking into account not only relative and absolute clinical parameters, but also patient-reported outcomes. Due to missing values in PASI, calculation of the relative reduction in PASI is not possible in some cases. These were handled with the remaining response criteria only.
Only those patients who had been treated with a systemic medication for at least one year were included in the current analysis. The number of patients therefore decreased over time, since patients were not yet observed at the time of database cut-off or due to treatment cessation (as-observed analyses). Patients who had stopped or started smoking within the last year, were also excluded from the analysis. In addition, data for participants who were observed less than one year before the database cut-off for our analysis (December 2016) were not included.
The cohort encompasses all patients who were documented in the 2 registries (PsoBest, SDNTT) until 31 December 2016. Due to this cut-off date, no data for biosimilars were included.
For statistical analyses, patients were classified into subgroups: smokers, i.e. patients who smoked at baseline and throughout the first year of observation; and non-smokers, i.e. patients who did not smoke at baseline and did not start smoking within the first year of observation. Patients who changed their smoking behaviour within the first year of observation (onset or cessation of smoking) or who did not made statements on smoking, were excluded from analyses. For outcome analyses, patients had to be undergoing an ongoing treatment at the measurement time-point (as at inclusion). Visits in which patients had already stopped their treatment were excluded. The number of cases remaining is given for different time-points and treatments.
Descriptive analyses were performed using standard statistical measures (absolute and relative frequencies, means, SDs). For comparison of subgroups analysis of variance (ANOVA) and χ2 tests were used, depending on the underlying measure and distribution.
Out of 5,346 patients included in the psoriasis registries, 1,264 met the inclusion criteria and their data were analysed. Of these, 423 patients were assigned to the subgroup “non-smokers” and 841 to the subgroup “smokers”, with a mean of 18.5 ± 14.0 pack years (Fig. 2).
Fig. 2. Study enrolment. Patient inclusion and exclusion flow diagram. *The number of patients decreased over time, since patients were not yet observed at the time of database cut-off or due to treatment cessation (as-observed analyses). PsoBest: German Psoriasis Register; SDNTT: Swiss Dermatology Network for Targeted Therapies.
On average, non-smokers were older than active smokers (44.6 vs. 47.7, p ≤ 0.001). At baseline, the average patient was overweight (mean BMI 28.4 ± SD 5.9 kg/m2). There was no significant difference between smokers (27.8 ± 5.8 kg/m2) and non-smokers (28.3 ± 5.7 kg/m2; p ≤ 0.197) regarding BMI. Among smokers 43.5% were female, of all non-smokers 44.0% (p ≤ 0.879). The waist-hip ratio was significantly lower among non-smokers (0.921 vs. 0.933; p ≤ 0.048). There was no difference in burden of therapy (p ≤ 0.214), meaning patients did not experience the application of treatment as a reduction in quality of life. The family medical history was positive for psoriasis in 37.8% of smokers and 37.1% of non-smokers, yielding no significant difference (p ≤ 0.560).
At baseline, the PASI in the active smoker cohort was slightly higher than in non-smokers (14.8 vs. 13.4, p ≤ 0.021). BSA was, however, no different (p ≤ 0.610). When patients self-assessed their disease severity on a 0–10 VAS, active smokers classify their severity slightly but significantly higher than non-smokers (6.6 vs. 6.3 p ≤ 0.017). Nail psoriasis (58.4 vs. 43.7, p ≤ 0.001) occurred more often in the group consuming tobacco and the number of involved nails in patients with nail psoriasis was higher (7.4 vs. 5.3, p ≤ 0.001). Nevertheless, PsA was found more frequently in non-smokers (24.1%) than in smokers (18%; p ≤ 0.010). Physician assessments showed no differences between smokers and non-smokers. This was true for activity of PsA (p ≤ 0.125) and pain in PsA (p ≤ 0.087). Also, patients did not assess a difference in PsA when they had to rate the activity (p ≤ 0.080). There was no difference in psoriasis type (Table I).
Table I. Baseline characteristics. Baseline demographic and clinical characteristics of smokers and non-smokers (German Psoriasis Register (PsoBest) and Swiss Dermatology Network for Targeted Therapies (SDNTT)) and comparison statistics using a one-way analysis of variance (ANOVA)/χ2 test
The majority of registered patients had received fumaric acid esters at baseline (n = 1,832, 48.9%), followed by methotrexate (n = 1,467, 34.3%). The most frequently used biological agent was adalimumab (n = 564, 10.5%) (Fig. 3).
Fig. 3. Number of patients included in the registry by baseline treatment, subgrouped as current smokers and non-smokers. ADA: adalimumab; ETN: etanercept; IFN: infliximab; UST: ustekinumab; SEC: secukinumab; APR: apremilast; FAE: fumaric acid esters; MTX: methotrexate; CSA: ciclosporin; RET: retinoids.
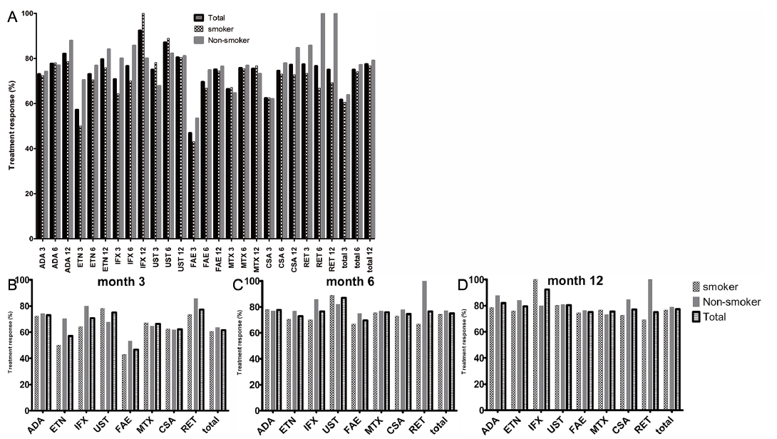
Response to treatment was considered to be achieved when PASI 75, or PASI ≤ 3 or DLQI ≤ 1 was reached. Overall, there was no significant difference observed in treatment response of skin lesions in active smokers compared with non-smokers when comparing for each individual systemic therapy after 3, 6 or 12 months (Fig. 4A). In the smoking group, 60.6% of patients (n = 715) reached therapy response at month 3 compared with 63.7% (n = 358) in the non-smoking group (p ≤ 0.269) (Fig. 4B). At month 6, 74.1% (n = 659) compared with 77% (n = 330) reached PASI 75, or PASI ≤ 3 or DLQI ≤ 1 (p ≤ 0.097) (Fig. 4C). After one year of treatment 76.6% (n = 504) in the smoking cohort and 79.0% (n = 272) of non-smokers reached treatment response (Fig. 4D). Also, at this time-point, this was not significant (p ≤ 0.611).
Fig. 4. Non-smokers, current smokers and both groups combined (total) who reached treatment response. (A) By smoking status, defined as reaching a Psoriasis Area and Severity Index (PASI) reduction of 75% (PASI 75) or PASI ≤3 or DLQI ≤1, at 3, 6 and 12 months of ongoing treatment. (B) At month 3. (C) At month 6. (D) At month 12. ADA: adalimumab; ETN: etanercept; IFN: infliximab; UST: ustekinumab; SEC: secukinumab; APR: apremilast; FAE: fumaric acid esters; MTX: methotrexate; CSA: ciclosporin; RET: retinoids.
Regarding adalimumab, out of all patients it was possible to obtain valid data on response in 159 cases at month 3. Out of these, 116 patients responded to treatment at that time. While the current smoker group showed a treatment response in 72.3% (n = 101) of cases, in the non-smoking group 74.1% (n = 58) of patient reached this goal (p ≤ 0.799) after 3 months. Neither was there any difference in treatment response at month 6 (data for 156 patients were analysed, of which a response was seen in 78.0% (n = 100) vs. 76.8% (n = 56) (p ≤ 0.862)) or month 12 (data for 111 participants were analysed, 78.6% (n = 70) vs. 87.8% (n = 41) (p ≤ 0.222)) between the 2 groups of patients receiving adalimumab.
For etanercept, valid data on response were received for 77 patients at month 3. In the smoking group 50.0% (n = 50) were considered to have achieved either PASI 75 or PASI ≤ 3 or DLQI ≤ 1. In comparison, 70.4% (n = 27) of non-smokers had a therapy response after 3 months of treatment. However, this difference was not significant (p ≤ 0.085). Also, after 6 (70.5% (n = 54) vs. 76.7% (n = 30), p ≤ 0.555) and 12 months (75.9% (n = 29) vs. 84.0% (n = 25), p ≤ 0.459) there was no significant difference between the 2 groups.
In 24 cases, valid data on response were obtained for patients on infliximab (64.3% (n = 14) vs. 80.0% (n = 10), p ≤ 0.404) at month 3. Also, at later time-points (months 6 and 12), no difference was found in achieving response to treatment between the smoking group vs. the non-smokers (70.0% (n = 10) vs. 85.7% (n = 7), p ≤ 0.452; 100.0% (n = 8) vs. 80.0% (n = 5), p ≤ 0.188).
For ustekinumab, the data for 104 patients were valid for response evaluation at month 3. Of these patients 78.1% (n = 73) (smokers) vs. 67.7% (n = 31) (non-smokers) (p ≤ 0.265) responded to treatment. Also, at month 6 (88.9% (n = 72) vs. 82.1% (n = 28), p ≤ 0.368) and month 12 (80.4% (n = 56) vs. 81.0% (n = 21), p ≤ 0.953), one year after initiation of treatment, no statistical difference in response rate was seen between the 2 groups.
Regarding secukinumab and apremilast, which, at the time of data cut-off, were the newer drugs in anti-psoriatic treatment, not enough valid response data could be obtained for any statistical comparison of smokers (valid n = 0 and n = 1, respectively) and non-smokers (valid n = 2 and n = 0, respectively).
For fumaric acid esters, data for 327 patients at month 3 were obtained. 43.0% (n = 207) of smokers responded to treatment, while 53.3% (n = 120) of non-smokers did (p ≤ 0.071). At month 6 (66.7% (n = 192) vs. 74.8% (n = 111), p ≤ 0.139) and month 12 (74.4% (n = 160) vs. 76.3% (n = 97), p ≤ 0.731) there was also no difference between smokers and non-smokers.
The data on methotrexate did not yield any significant differences between smokers and non-smokers at month 3 (67.0% (n = 206) vs. 64.6% (n = 82), p ≤ 0.703), 6 (75.4% (n = 191) vs. 76.7% (n = 73), p ≤ 0.823) or 12 (76.6% (n = 145) vs. 73.1% (n = 67), p ≤ 0.963).
For ciclosporin there was no statistical difference between treatments group at month 3 (62.5% (n = 48) vs. 61.9% (n = 21), p ≤ 0.963), 6 (73.0% (n = 37) vs. 77.8% (n = 18), p ≤ 0.701) or 12 (72.7% (n = 22) vs. 84.6% (n = 13), p ≤ 0.418).
Data for only 22 patients were valid concerning the response to retinoids at month 3. While 73.3% (n = 15) of the smoking group responded to treatment, 85.7% (n = 7) (p ≤ 0.519) of the non-smokers did. No statistically different results between the groups were seen at month 6 (66.7% (n = 12) vs. 100.0% (n = 5), p ≤ 0.140) or at month 12 (69.2% (n = 13) vs. 100.0% (n = 3), p ≤ 0.267).
After 12 months the number of patients continuing their treatment was 111 (70 smokers and 41 non-smokers) for adalimumab, 54 (29/25) for etanercept, 12 (8/4) for infliximab, 77 (56/21) for ustekinumab, 0 for secukinumab, 1 smoker for apremilast, 257 (160/97) for fumaric acid esters, 212 (145/67) for methotrexate, 35 (22/13) for ciclosporin A, 16 (13/3) for retinoids, an overall total of 776 (504/272).
Overall, there was no significant difference between smokers and non-smokers regarding any treatment at any time-point.
The data from the cohort of patients with psoriasis for Germany and Switzerland analysed prospectively in this study confirms the results of previous prospective (35–37) and retrospective (38–40) studies, in demonstrating that active smoking does not significantly affect the treatment response of skin lesions in psoriasis to systemic therapies. Menter et al. reported the absence of a correlation between active tobacco use and PASI 75 response in a prospective study with 814 patients treated with adalimumab (35). Similar results were reported in a prospective study with 2,368 patients, where smoking was shown not to affect treatment response, whereas BMI significantly decreased the response to systemic anti-psoriatic treatment (36). In contrast, a retrospective report by Rakkhit et al. (40) detected a minimally superior response of psoriasis to etanercept in non-smokers compared with active smokers. No difference between smoking status and efficacy of TNF-α blockers and ustekinumab was, however, found in a retrospective Italian study of 350 patients (39). A smaller retrospective study yielded similar results; however, only 36 non-smokers and 20 smokers met the inclusion criteria (38).
Interestingly, in a prospective study with 434 inflammatory bowel disease patients treated with TNF-antagonists, almost 5% developed a paradoxical psoriasis. Smoking was shown to be an important risk factor, and all of these patients had cutaneous infiltrates with increased numbers of IL-17A/ IL-22-secreting T helper cells (37).
The published data to date is thus not homogeneous. In a retrospective study with 110 patients with psoriasis treated with TNF antagonists, 13 non-responders were assessed in detail, and a history of active smoking at the onset of therapy appeared to be associated with non-response. The majority (61.5%, n=8; OR: 2.71 (0.82–8.92) of non-responders were smokers (41). No data on p-values were published.
There was a difference in age between our 2 cohorts. Smokers tended to be younger than non-smokers, leading to speculation about how much this affects treatment outcome. Our data also indicated that PsA was significantly less frequent in active smokers compared with non-smokers. In a published large study consisting of 1,388 patients it was reported that active smokers not only had a poorer treatment response, but also had worse treatment adherence. Interestingly, active smokers were less affected by obesity, had a shorter duration of disease, and the affected joint count was lower than in non-smokers. However, they scored more points on the visual analogue scale (VAS) than the comparison group at baseline. Once treated, the reduction in pain was not statistically different between smokers and non-smokers (42).
In total, non-smokers had better starting conditions, as their PASI was lower (13.4) compared with that of smokers (14.8). Also, self-assessed severity and nail psoriasis were more severe in the cohort of smokers. This has been reported previously and was also true in our study.
In certain other diseases, such as axial spondylarthritis, the effect of tobacco consumption on therapy response has also been analysed. A decreased response to TNF-antagonist treatment was reported in smokers with axial spondylarthritis (18). This was especially true for active smokers compared with non-smokers.
Recently, a multicentre, observational, prospective pharmacovigilance study (BADBIR), identified factors associated with a higher likelihood of achieving PASI 90 in biologic-naïve patients. Among other factors, smoking, or even only having a history of smoking, was associated with a reduced probability of treatment response in patients on biologic therapy (43). The study included more patients (n = 3,079 at 6 months and n = 3,110 at 12 months), which might be an explanation for the difference in results.
Since only 1,264 patients could be selected for analysis there is a potential selection bias in our study, which may be a weakness. Possible differences in the resonance rates in the treatment groups may not have been detected due to the small number of cases in the subgroups and the resulting insufficient power. However, a power calculation (90% power, 5% alpha, 10% equivalence limit, 50% response rate) was performed and, assuming there was no difference between the smokers and non-smokers regarding treatment response, 1,084 patients would be required. There were some differences at baseline such as age, PASI, psoriasis severity (patient assessment), nail psoriasis, number of involved nails and the presence of PsA. This could be a potential bias, but it is expected to be small, since we considered absolute and relative measures for treatment response. Also, PsA was not evaluated by a rheumatologist, and none of the usual scores were utilized. In registry studies there is no control for confounding, which poses a limitation to this work. Comparisons of the effect of smoking on response by treatment are not powered sufficiently to detect differences, and therefore the results should be interpreted in the light of this knowledge. One important limitation of this study was that difference in response given smoking status was contingent on the patient remaining on treatment until the relevant time-period. The high number of smokers in our cohort can be explained by the fact that former smokers (and current non-smokers) were excluded from the analysis.
In conclusion, this prospectively collected registry-based data analysis of 1,264 patients did not show that smoking affects the response of psoriasis skin lesions to systemic therapy.
The registries are supported by AbbVie, Amgen, Almirall, Biogen, Celgene, Hexal, Janssen-Cilag, LEO Pharma, Eli Lilly, Medac, Novartis and Pfizer. These companies do not have any influence on the design of the register, data collection and analyses, or on publication decisions or manuscript preparation.
Conflicts of interest: FA is funded by “Forschungskredit” a competitive grant from the University of Zurich. He has received honoraria from Abbvie, Celgene, Leo Pharma, Galderma and Novartis, but has no financial interest, nor holds any shares in any pharmaceutical company. AAN is funded by the Promedica and Bruno-Bloch Foundation. MA has received research grants and/or consulting or lecturing fees from AbbVie, Almirall, Amgen, Biogen, Boehringer Ingelheim, Celgene, Centocor, Eli Lilly, Hexal, Janssen-Cilag, Leo, Medac, MSD, Mundipharma, Novartis, Pfizer, Sandoz and Xenoport. MAR has received research grants and/or consulting or lecturing fees from Abbvie, Almirall, Amgen, Astellas, Biogen, Biologix, Böhringer, Celgene, Eli Lilly, Galderma, Hexal, Janssen-Cilag, La Roche Posay, Leo, Medac, Merck, MSD, Mundipharma, Novartis, Pfizer, Sandoz, Sanofi. NY has received honoraria for consulting and advisory board attendance from Abbvie, Almirall, Amgen, Celgene, Eli Lilly, Galderma, Janssen, Leo, Novartis, MSD and Pfizer. KR has served as advisor and/or paid speaker for and/or participated in clinical trials sponsored by Abbvie, Affibody, Almirall, Amgen, Biogen, Boehringer Ingelheim, Celgene, Centocor, Covagen, Forward Pharma, GlaxoSmithKline, Janssen-Cilag, Kyowa Kirin, Leo, Lilly, Medac, Merck Sharp & Dohme, Novartis, Ocean Pharma, Pfizer, Regeneron, Samsung Bioepis, Sanofi, Takeda, UCB, Valeant, Xenoport. CS is an employee of UKE. LEF has received honoraria for consulting and advisory board attendance from Abbvie, Amgen, Celgene, Eli Lilly, Galderma, Janssen, Leo, Novartis, and Pfizer. UM has been an advisor and/or received speaker’s honoraria and/or received grants and/or participated in clinical trials of the following companies: AbbVie, Almirall, Amgen, Biogen, Boehringer-Ingelheim, Celgene, Dr Reddy’s, Eli Lilly, Foamix, Formycon, Forward Pharma, Janssen, Leo Pharma, Medac, MSD, Novartis, UCB, VBL and Xenoport. J-TM is an employee of USZ and holds a “Filling the GAP” scholarship. AAN is funded by the Promedica and Bruno-Bloch Foundation. He is also on the advisory board of Galderma. All other authors have no conflicts of interest to declare.
