1Department of Dermatology, Erasmus MC Cancer Institute, 3Department of Pathology, 4Department of Plastic Surgery, Erasmus MC Cancer Institute, University Medical Centre, Rotterdam, The Netherlands, 2Centre of Evidence Based Dermatology, University of Nottingham, Nottingham, 5Department of Dermatology, Churchill Hospital, Oxford University Hospitals NHS Foundation Trust, Oxford, UK, and 6Department of Research, Netherlands Comprehensive Cancer Organization (IKNL), Utrecht, The Netherlands
Dermatofibrosarcoma protuberans is a rare soft tissue tumour with a very low (< 0.5%) rate of metastasis. Rates of re-excision and recurrence were determined using data from the Netherlands Cancer Registry between 1989 and 2016. Of the 1,890 instances of dermatofibrosarcoma protuberans included, 87% were treated with excision, 4% with Mohs micrographic surgery, and 9% otherwise or unknown. Linked pathology data were retrieved for 1,677 patients. Half of all excisions (847/1,644) were incomplete and 29% (192/622) of all re-excisions were incomplete. The cumulative incidence of a recurrence was 7% (95% confidence interval (CI) 6–8) during a median follow-up of 11 years (interquartile range (IQR) 6–17). After Mohs micrographic surgery (n = 34), there were no recurrences during a median follow-up of 4 years (IQR 3–6). Due to the high rate of incomplete excisions and recurrences after excision, this study supports the European guideline, which recommends treating dermatofibrosarcoma protuberans with Mohs micrographic surgery in order to decrease the rate of recurrence.
Key words: dermatofibrosarcoma protuberans; recurrence; surgical excision; histological clearance; Mohs micrographic surgery.
Accepted Aug 12, 2019; E-published Aug 13, 2019
Acta Derm Venereol 2019; XX: XX–XX.
Corr: Loes M. Hollestein, Department of Dermatology, Erasmus Medical Centre Cancer Institute, Box 2040, NL-3000 CA Rotterdam, The Netherlands. E-mail: l.hollestein@erasmusmc.nl
Dermatofibrosarcoma protuberans is a rare soft tissue tumour, for which the quality of care is poorly studied. Rates of re-excision and recurrence were determined using data from the Netherlands Cancer Registry between 1989 and 2016. Of the 1,890 dermatofibrosarcoma protuberans included, 87% were treated with excision, 4% with Mohs micrographic surgery, and 9% otherwise or unknown. Half of all excisions (847/1,644) were incomplete and 29% (192/622) of all re-excisions were incomplete. Of the patients who received surgery, 7% needed multiple surgeries. Due to the high rate of incomplete excisions and recurrences after excision, this study supports the European guideline, which recommends treating dermatofibrosarcoma protuberans with Mohs micrographic surgery in order to increase the quality of care.
Dermatofibrosarcoma protuberans (DFSP) is a rare soft tissue tumour that originates from a translocation of chromosomes 17 and 22, resulting in tumour cell proliferation of fibrohistiocytic lineage (1). Unlike most skin cancers, DFSP is a non-UV-related skin cancer (1). The overall standardized incidence rate in the Netherlands and the USA is 4 per 1,000,000 person-years (2–4). Men and women are equally affected, and the peak incidence age is between 20 and 50 years (5–7). Although DFSP occurs mostly in adult patients, it rarely occurs in children until 20 years old in the USA (1.0 per 1 million) (8). DFSP is commonly located on the trunk (50%), proximal extremities (20–30%) or head and neck (10–15%) (5–7). It presents as an asymptomatic, slowly growing, skin-coloured indurated plaque. Al-though DFSPs rarely metastasize, they grow in a locally invasive manner into subcutaneous fat, muscles and sometimes bone (5, 6, 9). Clinically, and with imaging tests (e.g. magnetic resonance imaging (MRI) or computed tomography (CT)), DFSP are difficult to delineate because the tentacle-like invasion into subcutaneous tissue is often greater than suspected. As a result, multiple surgical procedures may be required to ensure complete clearance of DFSP.
Until 2015, DFSP guidelines were lacking and, in the Netherlands, the majority of DFSPs were treated with standard excision. The European consensus-based interdisciplinary guideline, which has been available since 2015, recommends treating DFSPs with Mohs micrographic surgery (MMS) in order to reduce the assumed high recurrence rate after standard excision (10).
To date, outcome data for management of DFSPs are based on small cohorts of patients, with limited information on those lost to follow-up (6, 11). Previous studies report a wide range of rates of re-excision (3–81%) and recurrence (0–46%) of DFSP (6, 7, 9, 12, 13). This nationwide cohort study of DFSP with long-term follow-up aims to determine the rate of re-excision and recurrence, which is needed to inform patients, clinicians, and health policymakers in planning optimal treatment strategies and surveillance schedules.
Patients
This cohort study included all patients with a histologically confirmed DFSP in the Netherlands between January 1989 and December 2016 (Fig. 1). Data were obtained from the Netherlands Cancer Registry (NCR), which has collected data on all newly diagnosed cancer patients in the Netherlands since 1989. Registration is based primarily on notification by the nationwide network and registry of histopathology and cytopathology (PALGA), which contains all pathology reports of all Dutch pathology laboratories. Completeness of NCR incidence data on cutaneous malignancies is 93% (14). All data used for this study from the NCR (i.e. patients’ sex and age, DFSP location, type of treatment and physician) were collected from the medical records of hospitals by specially trained NCR employees. Tumour localization and morphology were registered according to the International Classification of Diseases for Oncology (ICD-O-3). Location of the primary tumour was categorized into face/scalp/neck (C44.0–C44.4), trunk (C44.5), arm/shoulder (C44.6), leg/hip (C44.7), genital (C51.0, C51.9, C63.2) or other (C44.8, C44.9). Vital status and date of death or emigration of the included patients were obtained by annual linkage with the Dutch Municipality Registers.
Fig. 1. Flowchart of materials and methods. DFSP: dermato?broma sarcoma protuberans; NCR: Netherlands Cancer Registry; PALGA: Dutch nationwide pathology database.
Study outcome
The outcome of interest was the rate of incomplete excisions and recurrences of DFSPs. The NCR registers DFSP only at the time of first primary diagnosis. Therefore, to detect all re-excisions and recurrences during follow-up, the included patients from the NCR registry were linked to PALGA. In order to have at least 2 years of follow-up, PALGA data were retrieved only for patients who were diagnosed with a DFSP before 1 January 2014. Follow-up of the patients started on the day of the first primary DFSP diagnosis and ended on the day of death or emigration, or the last date of NCR-PALGA linkage, which, for this study, was performed on 1 February 2015.
Conclusions from the PALGA pathology reports were reviewed manually (WK, EIVC, LH, CBVL) and scored on the following variables: diagnosis (DFSP, possible DFSP, other), immunohistochemical staining with CD34 (positive, negative, not performed), anatomical location (according to ICD-O-3), type of specimen (biopsy, diagnostic excision, wide local excision, re-excision, MMS, Breuninger surgery, other, unclear), histological clearance (yes, no, unknown, not applicable in the case of diagnostic biopsies), invasion into muscle (yes, no, possibly), fibrosarcomatous changes (yes, no, possibly) and clinical excision margins (in mm) (1). Invasion into muscle, immunohistochemistry for CD34, fibrosarcomatous changes and clinical excision margins were missing for 50–99% of cases and therefore not included in the final analysis.
All pathology reports with uncertain DFSP diagnosis (i.e. when the pathologist was in doubt about the diagnosis or if the pathology report was unclear) were excluded from the analyses (n = 297). Incompletely excised DFSP included DFSP that histologically invaded the inked surgical margin. Local DFSP recurrence included histologically proven DFSP that occurred at least 4 months after the previous pathology report, because it was assumed that re-excisions would occur within this period.
Statistical analysis
Annual incidence rates were calculated by sex, age groups and body sites per 1,000,000 person-years from 1989 to 2016, using the annual population size acquired from Statistics Netherlands (https://opendata.cbs.nl/statline/#/CBS/en/). Standardized incidence rates were calculated using the European standard population (2013) (15). Descriptive statistics were used to report the baseline characteristics of patients, DFSP, treatment and study outcome. In order to estimate the number of surgical procedures during follow-up (i.e. including the first surgical treatment of the primary DFSP and all re-excisions and/or recurrences), the mean cumulative count was calculated, which is equal to the sum of the cumulative incidences of all surgical procedures (16). To estimate the probability of the first DFSP recurrence during follow-up, a cumulative incidence curve (CIC) was calculated, which takes the competing risk of death into account (17). Statistical analyses were performed using STATA (version 15), SAS 9.4 statistical software (SAS Institute Inc., Cary, NC, USA), R statistical software version 3.4.1 (www.r-project.org). p-values < 0.05 (2-sided) were considered statistically significant.
Incidence and treatment of the first dermatofibrosarcoma protuberans
A total of 1,890 patients were diagnosed with a DFSP in the Netherlands between 1989 and 2016 (Table I). Both the crude and European standardized incidence rate of DFSP were 4.2 per 1,000,000 person-years (Table II). The incidence rate of DFSP was stable between 1989 and 2016. Incidence rates were comparable for men and women. Half of the 1,890 patients with a DFSP were men (49%) and overall median age at diagnosis was 41 years (IQR 31–41). DFSP were most commonly located on the trunk (45%) followed by arm/shoulder (24%), leg/hip (16%), head and neck (13%) and genital area (1%) (Table I).
Table I. Characteristics of patients diagnosed with a primary dermatofibrosarcoma protuberans (DFSP) in the Netherlands between 1989 and 2016 according to data from the Netherlands Cancer Registry (NCR)
Table II. Incidence rates standardized to other standard populations
The majority of the 1,890 patients with a primary DFSP were treated with excision (87%). Data from the NCR on the first primary DFSP showed that more than half of the 1,890 patients (56%) underwent a single excision, whereas 25% underwent 2 excisions and 6% underwent 3 or more excisions. Only 4% of patients underwent MMS as a primary treatment or as additional treatment after excision, and 1% were not treated at all. Non-surgical treatments included postoperative radiotherapy (6%) and or other types of treatment, such as tyrosine kinase inhibitors (1%). The majority of first treatments for DFSPs were performed by surgeons (38%), while dermatologists treated only 11% of DFSPs. The other DFSPs were treated by plastic surgeons (6%), or general practitioners (2%), or by physicians who worked in a multidisciplinary team (13%), or it was unknown (30%).
Re-excisions
For 1,677 patients who were diagnosed between 1989 and 2013, linked pathology data were retrieved from PALGA (Table III). Patient and tumour characteristics were similar to patients without linked pathology data (data not shown). Of the 1,677 patients, 35% underwent a single surgical treatment for a primary DFPS during a median follow-up of 11 years (IQR 6–17). Half of all patients (51%: (588+180+78)/1,677) underwent multiple surgical treatments. The number of surgical treatments was unknown for 14% (n = 240) of all patients. Of all 1,644 pathology reports of DFSP excisions, 32% (n = 524) were completely excised, 52% (n = 847) were incompletely excised and histological clearance was unknown for 17% (n = 273) of all reports. Of all 662 pathology reports of DFSP re-excisions, 61% (n = 401) were completely excised, 29% (n = 192) were incompletely excised and histological clearance was unknown for 69 reports (10%). The mean cumulative count of surgical treatments per patient was 1.4 (95% CI 1.3–1.4) after a follow-up of 6 months, and remained stable thereafter (Fig. 2).
Table III. Re-excision and recurrence of dermatofibrosarcoma protuberans with a primary diagnosis between 1989 and 2013 for whom follow-up data until 31 December 2015 were retrieved from the Dutch nationwide pathology database (PALGA)
Fig. 2. Mean cumulative count of surgical treatments of dermatofibrosarcoma protuberans (DFSP), which were diagnosed between 1989 and 2013 and followed-up until 2015 using data from the Dutch nationwide pathology database. The majority of surgical treatments occurred within the first 6 months (vertical line).
Recurrences
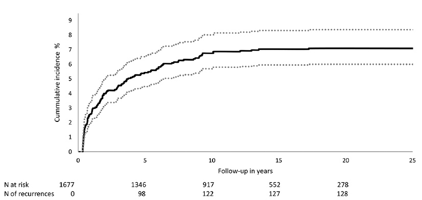
During a median follow-up of 11 years (IQR 6–17), 9% (n = 145) of 1,677 patients experienced one local recurrence and 1% (n = 15) of patients had two or more local recurrences. The cumulative incidence curve showed that the majority of recurrences occurred within 5 years (n = 98/128, 77%). However, some recurrences occurred even after 10 years (Fig. 3). After 20 years of follow-up, the cumulative incidence of local recurrence was 7% (95% CI 6–8). None of the 34 patients who underwent MMS between 1989 and 2013, experienced any recurrence during a median follow-up of 4 years (IQR 3–6).
Fig. 3. Cumulative incidence curve of the first recurrence with 95% confidence interval of dermatofibrosarcoma protuberans, which were diagnosed between 1989 and 2013 and followed-up until 2015 using data from the Dutch nationwide pathology database. The majority of recurrences occurred within 5 years of follow-up.
Fig. 3. Cumulative incidence curve of the first recurrence with 95% confidence interval of dermatofibrosarcoma protuberans, which were diagnosed between 1989 and 2013 and followed-up until 2015 using data from the Dutch nationwide pathology database. The majority of recurrences occurred within 5 years of follow-up.
This large nationwide cohort study of patients with DFSP shows that the efficacy of excision is poor given the high rate of patients who underwent multiple surgical excisions (51%) to clear all tumour cells. This study also showed that 10% of all patients experienced at least one recurrence during a median follow-up of 11 years (IQR 6–17).
Incidence and treatment of the first dermatofibrosarcoma protuberans
In concordance with other studies, the ratio of incidence rates for men and women was 1:1. The majority of DFSPs occurred among young people (median age 41 years), and the most common location was the trunk (45%) (5, 6).
The majority of DFSP excisions were performed by surgeons. This is probably due to the referral pattern of general practitioners in the Netherlands, who tend to refer patients with a sarcoma or a relatively large tumour to surgeons. Ideally, these patients are referred to dermatologists in specialized centres where multidisciplinary experts work together in order to plan optimal treatment strategies.
While the European guideline recommends treating DFSPs with MMS, this study shows that only 4% of all DFSPs were treated with MMS (10). The low percentage of patients treated with MMS is due to the introduction of the Dutch guideline in 2015 (while the cases were included between 1989 and 2016) and only in a single university medical centre have DFSPs been treated with MMS since 2008.
Only a few cases were treated with postoperative radiotherapy in our study, probably because it is still unclear whether radiotherapy is effective in slowly growing tumours, such as DFSP. Also, only a few cases were treated with tyrosine kinase inhibitors (imatinib), probably because systemic treatment for DFSP is indicated only for metastasized tumours or for tumours that could not be treated surgically, which is rarely the case for DFSPs (18, 19).
(Re)-excisions
We observed that, in our large population-based sample, 51% of DFSPs were re-excised and 10% recurred. Rates of re-excision and recurrence vary widely between studies; between 3–81% and 0–46%, respectively (6, 7, 9, 12, 13). This variation is most likely due to the small cohort size of the studies (range 14–451) (6, 11), and to the heterogeneity of included patients regarding anatomical locations (e.g. head and neck only vs. all body sites), surgical treatments used (e.g. wide local excision vs. MMS), clinical excision margin size (e.g. small vs. wide), physician (e.g. surgeon, plastic surgeon, dermatologist), methodology of collecting follow-up data (e.g. from the patient files, patients consultation by phone or doctor’s visit), length of follow-up (few months up to several years) and numbers of patients lost during follow-up (often not specified).
The observed DFSP re-excision rate of 51% is much higher than the known re-excision rates for basal cell carcinoma (BCC) (7–30%) (20) and squamous cell carcinoma (SCC) (0–25%) (21, 22). Multiple aspects contribute to the high re-excision rate for DFSP compared with BCC and SCC. First, DFSP is a rare tumour and therefore physicians may be less familiar with the clinical recognition and delineation of the extent of a DFSP. Secondly, physicians who are experienced in treating DFSP also find it difficult to delineate the extent of a DFSP preoperatively because of the subcutaneous tentacle-like invasion, which might be invisible to the naked eye both clinically and on imaging tests (e.g. MRI or CT). Thirdly, DFSP does not grow in a symmetrical manner around the clinically visible centre. Therefore, a clinically tumour-free margin even up to several centimetres around the clinically visible tumour centre often results in histologically tumour-positive margins on one side of the tumour, while on the other side healthy tissue is unnecessarily excised.
Recurrences
Although our observed recurrence rate of DFSP during a median follow-up period of 11 years (IQR 6–17) of 10% is within the range of known recurrence rates for BCC (12%) (23), SCC (10%) (21, 22) and melanoma (12%) (24), a recurrence rate of 7% is clinically relevant (21–24). It is most likely that histopathological missed residual tumour continued to grow and presented in time as a recurrent DFSP. DFSP might be absent on the evaluated slides, while still being present in the patient, because, with the standardized bread loaf technique, only a few vertical slides through the excised specimen are examined, representing only a small portion of the true excision margins.
Although this study presented only 34 patients who were treated with MMS, none of the patients developed a recurrence during a median follow-up of 4 years (IQR 3–6), which is in line with other studies. A possible lack of aggressiveness of DFSPs treated with MMS compared with DFSPs treated with standard excision, cannot explain this finding, because only a single university centre performed MMS for all DFPs treated in their centre since 2007. Other university centres performed standard excision for DFSPs. There were thus no referral patterns that could explain this finding. Therefore, our results suggest that MMS is an appropriate treatment for DFSP (25–28).
The observation that the majority of DFSP recurrences occurred within the first 5 years of follow-up is in line with the literature (5, 6) and implies that follow-up of at least 5 years is reasonable, especially because of the difficulty of distinguishing a nodal origin from scar tissue or from a recurrence.
Strengths and limitations
Strengths of this study are the use of nationwide cancer registry data, which resulted in a large number of cases of DFSP, a robust data-set to detect re-excision and recurrence rates using the nationwide pathology database, and the long-term follow-up period (up to 26 years). Limitations include a lack of information concerning high-risk features for most pathology reports, such as invasion into muscle and fibrosarcomatous changes. Another limitation is that 17% of the pathology reports of primary excisions and 10% of the pathology reports of re-excisions did not contain conclusive information on histological clearance. Therefore, the rate of incomplete excisions and recurrence of DFSP was probably underestimated.
Conclusion
This study reports a high rate of incomplete excisions of DFSP (51%) and a clinically relevant high recurrence rate (10%) during a median follow-up of 11 years. Multiple surgical procedures can lead to poor functional and cosmetic outcomes for patients, with higher costs to society. This study shows that there is a need to improve the quality of care for DFSP, and the results support the current European guideline, which recommends treating DFSPs with MMS instead of excision (10).
We thank the registrars from the NCR for their dedicated data collection. We also thank the researchers from PALGA. Evangeline Ip Vai Ching is acknowledged for reading a large proportion of all pathology records.
The authors have no conflicts of interest to declare.
